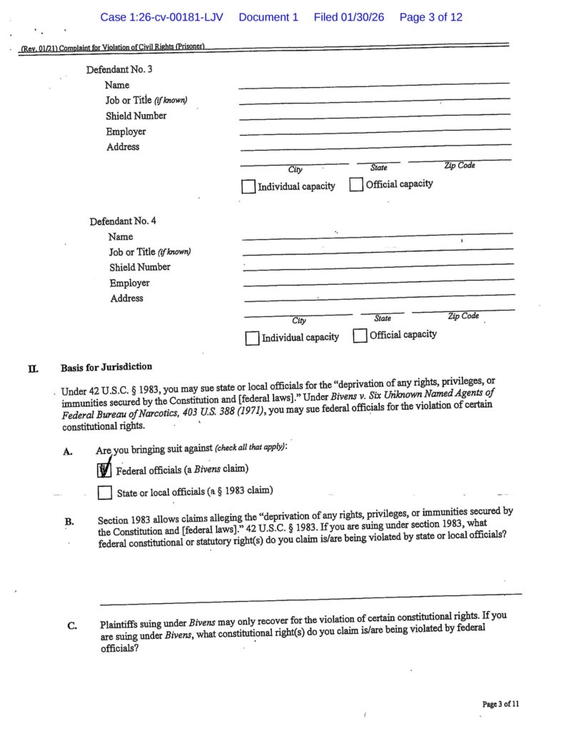
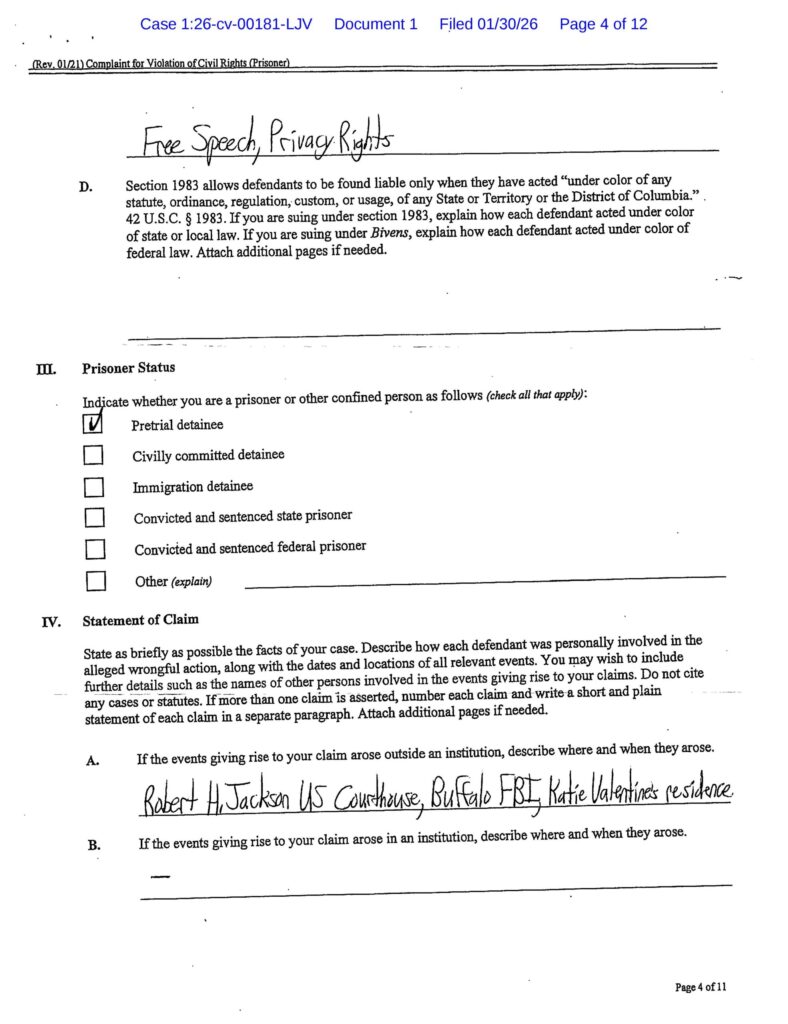
Luke Wenke filed the following civil complaint against me in late January of 2026. In it, he falsely accuses me of working for the U.S. government (or, as Wenke puts it, “Buffalo federal probation”) and violating his civil rights. I’ve never worked for any government, nor am I affiliated with the FBI agent who is listed as my codefendant.
Luke Wenke claims that I’m conspiring with the FBI agent to falsify court records, and that I have privileged access to the email inbox of a federal judge he’s accused of cyberstalking (who oversaw Wenke’s previous cyberstalking case). Furthermore, Wenke alleges that the government pays me to operate this website and that others are helping me run it.
These claims are baseless and completely untrue — in fact, Luke Wenke’s complaint against me fits the very definition of a frivolous lawsuit. It’s filled with blatant lies, including that I work for the federal government, which should be easy to disprove. I therefore don’t see how the case could move past its initial stages; if anything, I think Luke Wenke should be penalized for intentionally lying on legal documents. But the court tends to coddle him, so I’m not going to hold my breath.
As of March 8th, 2026, I have not been served with any documents pertaining to this case.
Wenke v. Valentine et al. | Complaint
January 30th, 2026
CASE #1:26-cv-00181, DOCS. #1 & 1-1
Wenke v. Valentine – Complaint – Doc. #1Categories: Luke Wenke, court documents: lawsuit, false allegations: conspiracy/collusion, falsifying records, HIPAA violations; Katie obsession
Tags: Buffalo, NY; Cattaraugus County, FBI, frivolous litigation, Libertarian Party, mommy, Monroe County Jail, New York State Troopers; Olean, NY; Peter Gerace; Rochester, NY; Salamanca, NY; U.S. Marshals











